Afera "Spisak" predstavlja samo poslednju kariku u dugačkom lancu afera vladajuće kaste u Crnoj Gori.

Različiti primjeri zloupotreba od "Snimka", preko "Zalutalog mejla" i "Koverte", pa do poslednje afere "Spisak" bjelodano pokazuju stepen zarobljenosti države od strane partije na vlasti. Podsjećamo da je DEMOS zbog afere slične aktuelnoj, konkretno slučaja „Zalutali mejl“, već podnosio krivičnu prijavu Specijalnom državnom tužilaštvu, ali da se i u toj prilici pokazalo da ne postoje nezavisne institucije, koje bi adekvatno procesuirale slučajeve očigledne političke korupcije.

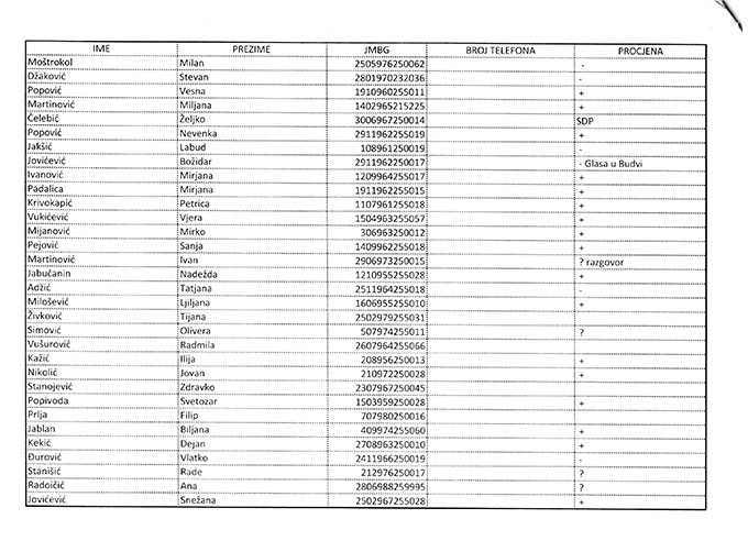
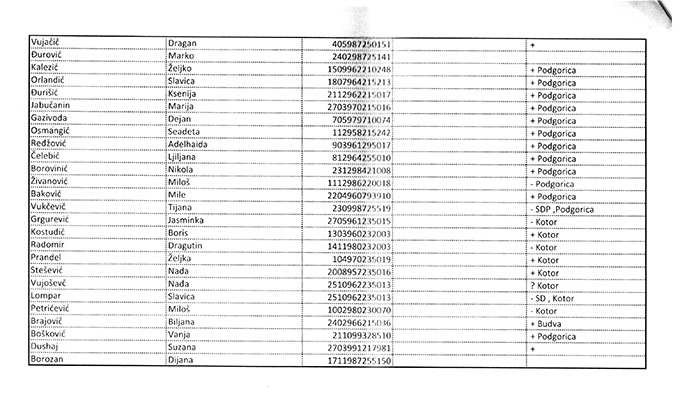
Detalji iz afere "Zalutali mail"
Ovakav model nezakonitog ponašanja vlasti zapravo je utemeljen u već antologijskoj formuli Zorana Jelića "jedan zaposleni, četiri glasa", koju smo imali priliku da čujemo u aferi "Snimak". Sva kasnije afere i zloupotrebe predstavljaju samo manifestacije ove davno utemeljene "doktrine".
Svakako ne možemo računati na iznenadno demokratsko osviješćivanje vlastodržaca, pa se ovakvi i slični anticivilizacisjki zahvati nažalost mogu očekivati i u budućnosti.

Zato DEMOS poziva na usklađeno djelovanje svih antirežimskih subjekata u zemlji, kako bi zajedničkim snagama pružili otpor samovlašću vladajuće elite i doveli do prvih demokratskih promjena u Crnoj Gori.